ThS. Ngô Thị Ngọc Lê
Bộ môn Y cơ sở II
Mục lục
ĐẶT VẤN ĐỀ
Việt Nam có một vị trí thuận lợi về thiên nhiên như vậy nên nền Y học dân tộc cổ truyền phát triển từ lâu đời, chiếm vị trí đặc biệt trong việc bảo vệ sức khỏe nhân dân trong suốt hàng ngàn năm đấu tranh dựng nước và giữ nước. Nhiều loài cây cỏ đã được trồng để dùng làm thuốc, nhiều loại dùng làm dược phẩm, mỹ phẩm như Bạc hà, Hoa hồi… Trong số đó có cây đỏ ngọn thuộc loại cây mọc hoang dại và phổ biến khắp các vùng trên lãnh thổ nước ta. Đặc biệt là ở các tỉnh miền núi phía Bắc, Tây Nguyên và Nam Bộ.
Cây đỏ ngọn đã và đang được dùng để làm thuốc và làm nước uống trong phạm vi dân gian một cách khá phổ biến ở các nước Châu Á, ở Việt Nam, đặc biệt là vùng đồng bào dân tộc miền núi phía Bắc nước ta. Gần đây, người ta phát hiện dịch chiết của lá cây đỏ ngọn có tác dụng chữa bệnh gan, có tác dụng tốt với hệ thần kinh và tác dụng của nó không thua kém gì các thuốc nhập ngoại [1].
Cây đỏ ngọn được dùng trong dân gian đã có từ lâu, nghiên cứu hóa thực vật cây đỏ ngọn thì mới được các nhà khoa học chú ý đến trong một số năm gần đây. Vì vậy, việc làm rõ thêm thành phần hóa học của cây đỏ ngọn sẽ tạo thuận lợi cho việc dùng, sử dụng cây thuốc này làm dược liệu và nguyên liệu cho các mục đích khác… [1].

Hình ảnh cây Đỏ ngọn – Cratoxylum prunifolium Kurtz
NỘI DUNG
Đặc điểm sinh trưởng và phát triển của cây đỏ ngọn
Theo tài liệu về phân loại thực vật, cây đỏ ngọn còn gọi là cây thành ngạnh, lành ngạnh tùy thuộc vào từng địa phương, tên khoa học là “Cratoxylum prunifolium Kurtz” thuộc học Ban “Hypericaceae”.
Cây đỏ ngọn phân bố rộng rãi ở vùng Nhiệt đới, Cận nhiệt đới, Ôn đới, chủ yếu ở vùng ôn đới bán cầu Bắc. Chi Cratoxylum ở Việt Nam có 5 loài:
- Cratoxylum maingayi Kurz có tên là lành ngạnh nhỏ, phân bố ở Bắc Trung Bộ và Lâm Đồng;
- Cratoxylum prunifolium Kurz lành ngạnh lá hẹp, phân bố ở vùng Đông Nam Bộ;
- Cratoxylum prunifolium Kurtz còn gọi là thành ngạnh đẹp, mọc phổ biến ở vùng Đông Bắc nước ta;
- Cratoxylum polyanthum Korth hay Cratoxylum ligustrinum Blume lành ngạnh;
- Cratoxylum cochinchinense Blumer còn gọi là lành ngạnh Nam Bộ [1].
Cây đỏ ngọn, thường thấy mọc tự nhiên ở hầu hết các tỉnh miền núi và trung du phía Bắc Việt Nam có nhiều ở Xuân Mai – Ba vì, Hà Tây, Sapa, Phú Thọ, Thái Nguyên, Bắc Cạn, Lạng Sơn, Vĩnh Phúc. Cây đỏ ngọn cũng phân bố phổ biến ở các nước Châu Á như: Trung Quốc, Malaysia, Philippin, Ấn Độ, Indonexia, Myanma, Thái Lan…
Mô tả cây
- Cây nhỏ, thân gỗ, có gai ở gốc (trong rừng lâu năm có thể cao và to) cành non có lông tơ, màu đỏ nên gọi là đỏ ngọn [2].
- Lá hình mác dài 12-13 cm, rộng 3,5-4 cm, mọc đối xứng, cuống ngắn 3-5 mm, Mặt gân chính màu đỏ đến 1/3 lá non, gân lá và lá có màu đỏ đến quá nửa.
- Hoa mọc trên những cành ở kẽ lá màu trắng hoặc hồng có lông màu tía.
- Quả nang dài 15mm, rộng 7-8 mm. Hạt hình trứng dài 6mm, rộng 3mm.
Một số thành phần hóa học trong cây đỏ ngọn
Các hợp chất có khung triterpen
Theo tài liệu [3] từ dịch chiết n-hexan của thực vật Cratoxylum cochinchinense đã tách được ngoài các triterpen có 5 vòng ngưng tụ nhóm lupeol và β-mangostin còn phân lập được các trierpen có hai vòng ngưng tụ.
Sau khi tách bằng các phương pháp sắc kí và dựa vào kết quả phân tích các phổ của các chất được tách ra, người ta đề nghị công thức cấu tạo 7 hợp chất triterpen hai vòng là:



Các chất acid hữu cơ
Từ lá một loại rau thuộc loài Cratoxylum formosum ở Thái Lan, Pilchaon Maisuthisakul đã phân lập được hai acid hữu cơ IV, V và cho biết các hợp chất ấy đều có hoạt tính chống oxy hóa. Sau khi tách, phân lập, tác giả đã đề nghị cấu trúc của nó có công thức là:

Các chất có khung xanthone
Các xanthone là nhóm chất lớn nhất, phổ biến nhất có ở hầu hết các loài thuộc chi Cratoxylum. Từ loài Cratoxylum cochinchinense, Soon Yew Tang cùng với các cộng sự đã phân lập được C-glycoside của xanthone và xác định được công thức cấu tạo của nó có dạng VI.

Từ loài Cratoxylum formosum, Nawong Boonnak cùng với các cộng sự [4] cũng đã phân lập được các xanthone có cấu trúc VII dưới đây:


Từ loài Cratoxylum cochinchinese của miền Nam nước ta, Lê Thị Diệu Nguyên và Leslie J.Harrison [3] đã phân lập được ngoài các triterpen I, II và III còn có các xanthone có cấu trúc VIII.a và VIII.b.

Từ loài Cratoxylum maingayi [1] người ta cũng phân lập được một số hợp chất xanthone IX, các chất này có cấu trúc đơn giản nhưng đều có tác dụng như các chất có hoạt tính chống oxy hóa tốt.


Từ loài Cratoxylum formosanum người ta cũng phát hiện được các xanthone có cấu trúc phân tử như sau:

Một số đại diện của khung anthraquinon
Từ loài Cratoxylum formosum ngoài việc xác định các xanthone, Nawong Boonnak, Chatchanok Karalai và các cộng sự [4] còn phân lập được các anthraquinon có các cấu trúc XI. Các tác giả còn cho biết các chất này có hoạt tính sinh học rất cao. Chúng có tác dụng tốt trong việc điều trị bệnh tiểu đường, viêm nhiễm, hạ đường huyết.

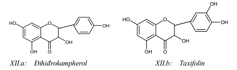
Một số đại diện của khung flavonoid
Từ loài Cratoxylum cochinchinense, Cratoxylum formosanum nhiều tác giả đã phân lập được 2 flavonoid XII.a và XII.b. Chúng có hoạt tính kìm hãm peroxyd hóa lipid màng tế bào gan, có tác dụng tăng khả năng thải độc của gan, có tác dụng kìm hãm sự xuất hiện lipid ác tính.

KẾT LUẬN
Từ những kết quả nghiên cứu về đặc điểm thực vật, thành phần hóa học và một số tác dụng sinh học của cây đỏ ngọn. Các nhà khoa học đã phát hiện ra trong cây đỏ ngọn có chứa các nhóm hoạt chất: triterpen, xanthone, anthraquinon, flavonoid, acid hữu cơ, saponin, tanin… tác dụng chính của cây là chống oxy hóa, bảo vệ tế bào, ngăn ngừa các nguy cơ xơ vữa động mạch, tổn thương do bức xạ, suy giảm chức năng gan.
Nghiên cứu bằng phương pháp xét nghiệm động máu huyết tương còn cho thấy dịch chiết từ lá cây đỏ ngọn có tác dụng kháng đông, ngăn ngừa rối loạn đông máu, lưu thông tuần hoàn…
Chính vì vậy, cây đỏ ngọn là một dược liệu quý có giá trị, hiện nay đang được sử dụng rất nhiều theo hướng điều trị chống cục máu đông, chống xơ vữa động mạch, rất hữu hiệu cho những trường hợp mắc các bệnh về tim mạch như bệnh động mạch vành, nhồi máu cơ tim… [5]
TÀI LIỆU THAM KHẢO
- [1]. Bùi Văn Bình (2008), “Nghiên cứu hóa học và nhận dạng một số nhóm chất có trong cây đỏ ngọn (cratoxylum prunifolium Kurtz)”, Thái Nguyên.
- [2]. Đỗ Tất Lợi (2001), Những cây thuốc Việt Nam, Nxb Y học, trang 122-123.
- [3]. Le Thi Dieu Nguyen, Le Li J. Harrison (1998), “Ritecpenoid and xanthone constituents for Cratoxylum conchinchinese”, phytochemistry 50, 471-476.
- [4]. Nawong Boonnak, Chatchanok Karalai, Suchada Chantrapromma, Channita Ponglimanont, Hoong-Kun Fun (2006), “Bioac five prenylated xanthones and anthraquinones from Cratoxylum formosun ssp.pruniflorum”, Tetrahedron 62, 8850-8859.
- [5]. https://trungtamduoclieu.vn/cay-do-ngon-chua-benh-gi-bid2157.html